Our group focuses on experimental and theoretical atomic, molecular and optical (AMO) physics. On the experimental side, we develop novel experimental technologies (this includes lasers, cryogenic and vacuum technologies, precision mechanics, digital and analog electronics, etc.) with the primary goal of studying and testing quantum physics for atomic and molecular systems. On the theory side, we work on a wide range of AMO-physics problems ranging from quantum-scattering calculation, molecular property calculations, up to populating spectroscopic databases, with the primary goal of supporting our experimental endeavors.
Accurate measurements of atoms and molecules.
The main research direction of our group is the use of ultra-precise laser measurements to test quantum physics. We do this at different levels using different experimental approaches. One example is searching for variability in fundamental constants with optical atomic clocks. We developed a new experimental approach to search for short-time variations in the fine-structure constant [16] and used it to constrain some models of topological dark matter [16]. This led us to perform the first such measurement using a global network of optical atomic clocks [24]. Another example is testing the quantum-electrodynamics (QED) sector of the standard model for the case of molecular systems. We focus on molecular hydrogen [25], the simplest molecule in nature hence calculable from the first principles of quantum theory at high level of accuracy. We developed a cavity-enhanced spectrometer that is based on an optical resonator with exceptionally high finesse (F = 637000) [30]. The accuracy reached with this instrument corresponds to testing QED at the fifth significant digit. Recently, we moved this cavity-enhanced technology to a deep cryogenic regime [59, 72], which allowed us to improve the accuracy by over an order of magnitude [72]. In 2023, we launched a new project aimed at trapping cold molecular hydrogen. We develop an ultra-strong optical-dipole trap and a novel cryogenic molecular source which combined will allow us to confine H2 molecules with the ultimate goal of improving the accuracy of H2 energy structure measurements by orders of magnitude. Further example of our experimental activity are accurate studies of atomic and molecular interactions and collisional phenomena. We do it by performing precision spectroscopy of the collision-induced shapes of molecular lines. This allows us not only to experimentally validate quantum-chemical calculations of intermolecular potential energy surfaces [31, 37, 52], but also to test quantum-scattering calculations [52, 69] and line-shape models which describe collisional relaxation of an optical coherence and its redistribution among different velocity classes [5, 38, 60].Precision calculations of atomic and molecular structure and interactions.
The main research direction of our group at the theory side are ab initio quantum scattering calculations. We are primarily interested in studying collisional processes for simple diatomic molecules, which can be described in a fully quantum way starting from the first principles. The model example is molecular hydrogen colliding with noble gas atoms [7, 19, 22, 26] and with itself [69, 71]. On the one hand, these studies are motivated by testing the quantum-chemical calculations [7, 19] and studying collisional physics at molecular level [2, 5, 7, 37]. On the other hand, motivation is astrophysical [67, 69] and atmospheric [48, 54, 61, 66] applications. Depending on the context, the collision energy in our calculations spans from ultracold regime [68], where the single partial wave dominates the collision physics, through the intermediate range that is relevant to many astrophysical applications [67, 69, up to high temperature (room temperature and higher), where over hundred partial waves have to be included [48]. Our quantum scattering calculations are strongly related to the problem of molecular spectra simulations, where often the collision-induced line-shape effects play an important role [69]. Another example of our activity on the theory side are calculations of molecular structure and their properties, which are mostly related to supporting our experimental projects. One example is calculations of the hyperfine structure in molecular hydrogen [36, 45] and its isotopologues [33, 35, 46, 47], and more general considerations related to generic properties related to hyperfine interactions [56, 64]. Another example is developing a new approach to looking for magic wavelengths in molecules and identifying a series of magic wavelengths in H2 [57]. Our other projects span from calculating molecular properties based on well-established methodologies such as calculating line intensities of molecular transitions [70] up to more exotic considerations such as studying possibility of enhancing the sensitivity of optical cavity to variations in the fine-structure constant [50].Spectroscopic databases
Another important branch of our research activity is developing and populating spectroscopic databases that provide line-by-line reference molecular spectra. Our main direction in this field is providing collision induced line-shape parameters that are based on our accurate ab initio quantum-scattering calculations. For the simplest molecular system (He-perturbed molecular hydrogen), we provided full datasets of collision-induced line-shape parameters that cover all rovibrational transitions for both H2 [44] and HD [53] isotopologues. For the more complex systems of H2-perturbed H2 and HD lines we provided the results for the first several lines [69] with the long-term goal of populating the entire database as we did for the He-perturbed cases. At the moment our main interest concerns the line-shape calculations for several molecular systems that are relevant for the Earth atmosphere including: CO [54], O2 [48], HCl [66], HF and HCN [75] (for all these cases the relevant perturbers are N2 and O2 atoms). Another important direction that we work on is introducing to the spectroscopic databases collisional line-shape models which include beyond-Voigt effects such as speed dependence of the collisional broadening and shift and complex Dicke effect. In 2016, we started from developing the HITRAN database parameterization for the Hartmann-Tran profile [12]. In Ref. [39], we analyzed the problem of analytical representation of temperature dependencies of the line-shape parameter and recommended using the double power law approximation. Recently, we provided a detailed analysis of the Hartmann-Tran profile identifying some limitations, which led us to developing its modified version (modified Hartmann-Tran profile) [73], which is now the recommended beyond-Voigt profile in the HITRAN database. In parallel to the line-shape calculations, recently we got involved also in calculations of line intensities for simple diatomic molecules [70, 74]. These projects are pursued within a tight collaboration with the HITRAN group.

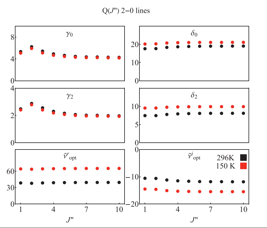
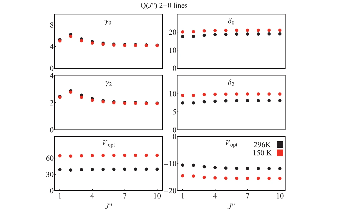
An excerpt from our dataset illustrating the structure of the dataset and the examples of the vibrational and rotational dependences of all six line-shape parameters. The line-shape parameters are determined for the He-perturbed H2 rovibrational lines at T = 150 K and 296 K; refer to red and black colors, respectively. All the parameters are expressed in units of 10−3 cm−1atm−1. The values of the line-shape parameters shown in this plot are not directly taken from ab initio calculations, but reconstructed from the DPL relations, Eqs. (7), based on the coefficients from our dataset [34]. (For interpretation of the references to color in this figure legend, the reader is referred to the web version of this article.)


An excerpt from our dataset illustrating the structure of the dataset and the examples of the vibrational and rotational dependences of all six line-shape parameters. The line-shape parameters are determined for the He-perturbed H2 rovibrational lines at T = 150 K and 296 K; refer to red and black colors, respectively. All the parameters are expressed in units of 10−3 cm−1atm−1. The values of the line-shape parameters shown in this plot are not directly taken from ab initio calculations, but reconstructed from the DPL relations, Eqs. (7), based on the coefficients from our dataset [34]. (For interpretation of the references to color in this figure legend, the reader is referred to the web version of this article.)
